数学問題集(2012年入試問題)


2012年大学入試から選んだ数学の問題と解答・解説
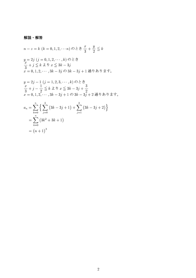
大学入試数学問題,数列,解説・解答
 
数学問題集「考える葦」